⚠ Switch to EXCALIDRAW VIEW in the MORE OPTIONS menu of this document. ⚠

Text Elements

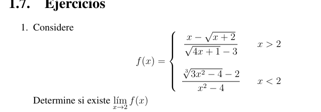
Para que el límite exista, la función debe ser contínua. Por lo tanto:

Como

no existe

Embedded files

2006ea467540878853dd54606b912e38627506b9: Pasted Image 20240807183808_564.png f071b0f69ddef5b3eb0ebda1be284d8a35411d30: Pasted Image 20240807193435_522.png 3d17202df804fcfcb6ce5dc7e608edbcb1adb632: Pasted Image 20240807222200_908.png b70a16f3e9b3c585912e5f37358876841d0e5e02: Pasted Image 20240807222705_966.png 9e7356427bbb3041f2f029ef04bd643b1e6cf79b: Pasted Image 20240807223646_889.png 79dcce87249bcbc957aeaa73f6cb03be07026243: Pasted Image 20240807224021_674.png b931ddb342355cc5b77a8a2d7ba6b8d7dcd4264e: Pasted Image 20240807224548_723.png 6c85cbd34917fee6dde40c458c0cf1d16ca68ecc: Pasted Image 20240807232718_722.png d89f5412435631662caeda4341274e871ab7519d: Pasted Image 20240808002852_445.png